新闻列表

news

位置:首 页 >> 新闻列表 >> 技术资讯

一文了解四足机器人的步态设计!

栏目:技术资讯 发布时间:2025-04-17 访问量:34次

0、步态规划

四足机器人控制当中,步态是至关重要的一项。我们可以简单理解成四足机器人运动过程中各腿的状态,在这套设计方案中,我们对步态的规划主要分成两大主要部分,即接触状态和周期函数。而步态规划的目的,就是创建一个关于的足端接触状态的周期函数。

1、接触状态

四足机器人行进过程中,根据足端与地面是否发生接触,我们可以规定各条腿的两种接触状态,即接触(contact)与摆动(swing)

总控制器会根据步态规划给出的状态,移交至对应的控制器去处理,即摆动腿控制器(swing leg controll),接触腿控制器(contact leg control)。

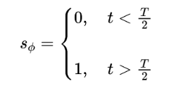
对于这两种状态,可以简单地用一个布尔类型的值s来定义,即

169577853929af4f.png

对于周期性的步态规划,我们可以用下标Φ来进行区分,可以写成:

1695778552cbaaf8.png

2、步态周期

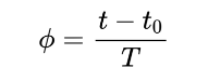
四足机器人的运动归根到底都是周期运动,我们无须量化机器人运动的整个过程,因此如何量化定义一个完整的步态周期显得极为重要,在此我们使用基于时间的周期函数,定义一个基准相位值,公式如下:

169577856150c6d0.png

其中,

·  t:当前运行时间

·  t0:当前周期开始时间

·  T:一个步态周期

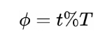
同样我们可以利用取余的方法来简化上述周期函数,两者并无实质的区别:

1695778577a00aa5.png

其中,

·  %为取余运算

·  T为当前运行时间

对于相同类型的周期信号,我们可以利用相位差来表征周期函数之间的差别,因此有了基准相位函数之后,我们就可以利用其来定义各条腿的相位,如下式:

16957785919239d6.png

其中,Φi,offset为第条腿与基准相位的相位差。

3、周期函数效果演示

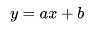
这里简单利用一个线性函数进行演示:

16957786051001c8.png

取a=1,b=1,其图像随时间变化如下:

169577861322bb3a.png

利用周期函数对时间进行调整,可以使其变成周期函数,设定周期为2s,时长为10s,其图像如下:

169577862539ecbc.png

从图像可以看出,刚好为5个周期,一个周期为一个尖角。接下来,为更好的观察各曲线相位,我们设定该直线函数的3个周期,其相位差(offset)分别为[0,1,3,4],图像如下:

1695778636d2722b.png

从上图可以看出,我们的“尖角”会根据相位差,向前或向后平移。此方法对所有函数均适用,以下为利用sin函数进行的测试效果:

169577864687ed83.png

4、步态规划

因为我们的四足机器人足端,是在不停地与地面接触,悬空(摆动),所以这里说的步态规划,其实指的的一个连续(离散)时间上的接触序列。

我们以一条腿为例,本质上,可以看作是一个周期性的,用于生成各腿接触状态的阶跃函数。其输入值为时间,输出值为0或1,函数可以表示成如下:

16957786862a8856.png

其中t=t%T为时间的周期函数,其图像如下所示:

16957786952f2a59.png

可以看出,步态规划器给出的是一段由0-1组成的接触序列。接下来加上相位关系。以tort步态为例,其相位为[0, 0.5, 0.5, 0],步态规划随时间的图像如下所示:

1695778761feb0f2.png

5、总结

综上,我们利用阶跃函数得到一串由0和1组成的序列,来表示四足机器人足端与地面的接触状态。根据不同的接触状态,再交由其他运动控制器进行控制,如接触状态,就由mpc模型计算出所需要的反作用力;而摆动状态,就交由摆动控制模块计算足端的摆动轨迹,最后根据需要的不同的行走姿态,确定个条腿之间的相位差,实现各腿的协同运动。


×
添加微信好友,了解更多产品

点击复制微信号

微信号:13549966965

复制成功
微信号:
添加微信好友,了解更多产品
去微信添加好友吧

电话

13549966965
7*24小时服务热线

微信

二维码 扫一扫添加微信
TOP